kd 指标是用来分析价格的强弱以及预测价格反转信号的技术分析方法,也是目前多数加密货币投资者在币安上用来判断价格的方法。本篇文章我将会讲解kd 指标的意义、操作与实际应用,也会搭配币安binance 的tradeview 图表进行加密货币价格判断的实际操作。
| | 意义 | 内容 |
| RSV | 未成熟随机指标 | 表示一段时间内价格的相对强弱 |
| KD指标 | 随机指标 | 经过RSV加权平均后的数值,同样表示一段时间内价格的相对强弱 |
| 超买区 | KD > 80 | 市场过热,为放空讯号 |
| 超卖区 | KD | 市场过冷,为买进讯号 |
| 黄金交叉 | K值由下往上超越D值 | 一段时间内,价格将持续上涨 |
| 死亡交叉 | K值由上往下跌破D值 | 一段时间内,价格将持续下跌 |
| KD钝化 | KD值长期在超买/超卖区 | KD值失去参考意义 |
| KD背离 | KD走势与价格走势相反 | 通常暗示价格即将反转 |

上一篇文章,我们介绍的移动平均线的使用方法:
今天我们会介绍另一个基本的技术分析指标,KD 指标。
KD指标的中文,指的是「随机指标」。
随机,指的是价格在一段时间内相较于价格上下范围的比例。
KD 指标可以看出一些事情:
在使用上,KD 指标是基于以下前提:
在了解KD 指标之前,我们要先认识RSV (Raw Stochastic Value,未成熟随机指标),
因为KD 指标其实是从RSV 衍生出来的数值,两者概念上是相同的。
RSV 的原理很简单,他是求出「目前价格」相较于过去一段时间其最高价、最低价的强弱:

当RSV 接近100%,就表示收盘价接近过去一段时间的最高点,我们通常会说RSV 高表示最近价格很强。
当RSV接近0%,就表示收盘价接近过去一段时间内的最低点,我们通常会说RSV 低表示最近价格很弱。
简单地说,RSV 越接近100%,则越强,越接近0%,越弱。
那什么是KD 值呢?其实他是从RSV 衍生算出的数值,概念上是相同的。
KD 指标又可以拆为K 值和D 值:
K值
首先我们先知道,K值是由RSV 计算出来的数据,原理是取「昨日的K 值」和「今日的RSV」去做加权平均。
权重我们通常会取三等份,两等份给昨日K 值,一等份给今日RSV (这代表昨日K值影响力会大于今日的RSV),
K 值的详细计算公式如下:

从公式你可以发现,当α = 1 时,K 值其实就会等于RSV。
由于K 值对于价格变动的反应较为灵敏,因此称为快线。
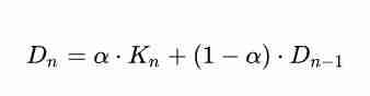
D值
K 值是RSV和昨日K 值的加权平均,而D 值则是K 值和昨日D 的加权平均。
详细计算公式如下:

当α = 1 时,D 值其实就会等于K 值。
D 值对于价格变动的反应较为缓慢,因此称为慢线。
简单整理一下你会发现以下的路径:价格强弱影响RSV,RSV影响K值,K 值影响D值。
这就是KD 指标的计算原理。
那为何我们不直接使用RSV 指标,而是要改用KD 指标呢?
答案是:「因为RSV 太容易受到价格波动影响。」
假设今天价格突破了过去一段时间内的新高点,RSV 就会大于100%;相反地,价格如果创新低,RSV 就会变成负值,这样在实务上使用会有些麻烦。
另外RSV 对于价格变动太过灵敏,想要以此作为买卖讯号杂讯实在过多,因此才会衍生出经过加权平滑的KD 指标。
了解了KD 的原理后,接下来我们来KD 指标该怎么实际运用,简单列出市场常用的法则。
PS 这些经验法则不代表百分之百的胜率,实际运用上还是要搭配其他指标,以及透过经验来调整自己的投资策略。
KD 值的范围是0 ~ 100 %,和RSV 一样。
当数值越高,代表市场越乐观;数值越低,则代表市场悲观;若处在50% 左右,则代表多空平衡。
因此我们可以用这个原理去判断市场的情绪。
当KD 值> 80% 以上,代表市场过热,一般称为超买阶段,可以考虑放空。
当KD 值

和均线一样,KD 值也有交叉的策略可以使用。
交叉简单说就是一种买卖讯号:「当黄金交叉出现时,代表后续可能会持续上涨一段时间,当死亡交叉出现时,代表后续可能会持续下跌一段时间。」
当K 线(快线)向上超过D 线(慢线),就代表黄金交叉,可以视为买进讯号,如果发生在超卖区更好。
当K 线(快线)向下跌破D 线(慢线),就代表死亡交叉,可以视为卖出讯号,如果发生在超买区更好。

「钝化」指的是指标失去作用的时期。
由于KD 值是计算过去一段时间内价格的相对强弱,因此当价格趋势持续很长一段时间时,KD 值就会失去判断的信号。
例如价格在过去30天内一直上涨,KD 值就会一直处在超买区,且不断来回交叉,但如果依照这个信号去放空,显然会造成损失。
因此,当KD 值长时间都维持在超买或超卖区,通常KD 指标会失真,也就是失去判断的作用。

「背离」指的是价格趋势和指标趋势不一致的状况,通常暗示价格即将出现反转。
例如:今天价格创近期的新高,但是KD 指标却没有跟着创新高,这是一种背离,且暗示价格有可能转弱;
同理,当价格创新低,但是KD 指标的却没有跟着创新低,同样是一种背离,且暗示价格有可能转强。
背离有多种情况,而且不仅是KD 指标有背离状况,很多技术指标也可以套用,以下用表格简单说明KD 背离的几种状况:
| 转弱背离 | 价格创新高 | 价格没创新高 |
| KD 创新高 | 转弱 | |
| KD 没创新高 | 转弱 |
| 转强背离 | 价格创新低 | 价格没创新低 |
| KD 创新低 | 转强 | |
| KD 没创新低 | 转强 |
进入币安交易所后,选择一个交易对,进入Trading View 介面,
以下用BTC / USDT交易对来示范,按照下图步骤把KD 指标叫出来:

接着系统就会在下方跳出「Stoch」,也就是KD 指标的英文,按下齿轮图示,可以去设定细节参数。
首先在「输入数值」,一般我们会设定9 : 3 : 3。

接着跳到「样式」,
我们可以设定超买超卖的上下限,一般会设定80/20,
不过如果是波动较大的资产,如加密货币,也有的人会设定70 / 30 :

回到主页,你就可以看到设置好的KD 指标分析坐落在分时走势图的下方:

KD 指标的优点是价格反应灵敏,对于中短线操作可以迅速反应市场状况,且时间长短可以根据投资人的喜好调整参数。
KD 指标的主要缺点是,遇上大波段上涨或下跌行情,常常会让投资人只赚到一小个波段就提前出场(钝化),因此不适合长线操作。
KD 指标是结合均线、动能、力道等概念的技术指标,使用起来非常简单好懂,可帮助投资人快速分析价格的相对强弱。
在使用上,比较建议投资人结合均线、KD 指标一起分析,因为均线对于中长期的趋势会有比较好的判断,刚好弥补KD 指标的缺点,也可以结合我们之后会讨论的MACD 等其他技术指标,可以有更宏观的分析结果。
以上就是什么是KD指标?用KD随机指标判断价格找买点技巧的详细内容
最新发现
相关资讯
Uniswap交易所提币规则及优缺点
Uniswap 提币规则规定: 1.提币需通过 MetaMask 或支持 Uniswap 的钱包进行。 2.提币需支付网络拥堵程度决定的手续费。 3.提币处理时间根据网络状况,通常数分钟至数小时内完成。
2025-02-22 12:07:00
Uniswap交易所可靠性分析,Uniswap是否为正规交易平台
Uniswap 是一个可靠的去中心化交易所,以其透明度、安全基金和社区支持而著称。从薄饼交易平台取款到银行卡需要登录平台、进入“提现”页面、选择银行转账、填写提款信息、提交请求、确认提款和等待到账。需注意手续费和银行卡信息准确性。
2025-02-22 12:07:00
什么是 WalletConnect ?
WalletConnect 是一种开源协议,它通过二维码或链接,安全地连接去中心化应用 (dApp) 和加密钱包,从而允许用户在不泄露私钥的情况下与 dApp 交互。它建立了一个加密通信通道,使 dApp 和钱包可以安全地交换消息和交易信息。用户可以在钱包中确认和签名交易,而私钥始终保存在钱包中,不会暴露给 dApp,确保了安全性和隐私。
2025-02-22 12:05:00
新闻热榜
热门应用
精彩专题